一、引言
隨著純電動車及混合動力車的發展,作為重要儲能設備的串聯電池組是影響整車性能的一個關鍵因素。
延長電池壽命,提高電池的使用效率是電動汽車商品化、實用化的關鍵。由于水桶效應的存在,串聯電池組的整體性能取決于電池組中性能最差的單體電池,為了能夠對串聯電池組的能量使用進行有效管理,需要實時監視串聯電池組中的單體電池狀態。在表征電池狀態的參數中,電池的端電壓最能體現其工作狀態,因此精確采集電池組中各個單體電池電壓十分重要。
二、現有單體電池檢測方法
目前單體電池電壓測量方法有許多,主要可歸納為分壓電阻降壓、浮動地測量、模擬開關選通等幾種方法,下面就這些方法做一個分析:
1、電阻分壓法
電阻分壓法主要是通過電阻分壓將實際電壓衰減到測量芯片可接受的電壓范圍,然后進行模數轉換。U1對應BT1 的電壓,Un-1 對應從BT1 到BTn-1 之間的電壓,Un 對應整個電池組的電壓,如圖1 所示。這種方法測量方面,成本低,壽命長,但是存在累積誤差,且無法消除。隨著單體電池數的增多,單體電池電壓測量誤差會隨著共模電壓的增大而增大。

圖1 電阻分壓方案
2、浮動地測量法
使用浮動地技術測量電池端電壓時,窗口比較器會自動判斷當前低電位是否合適。如果合適直接啟動模數轉換進行測量;如果太高或太低,則通過微控制器經數模對低電位進行浮動控制使低電位處于合適的狀態下。該方案由于低電位經常受現場干擾而變化,不能對低電位進行精確控制,影響整個系統的測量效果。
3、模擬開關法
采用模擬開關的方案通過模擬開關選擇測量通道,每個通道采用運算放大器組成線性采樣電路。當選中需要進行測量的通道后,模擬開關的輸出經電壓跟隨器送入模數轉換器進行模數轉換。該方法根據串聯電池組總電壓的大小,選擇適當的放大倍數,不必電阻分壓網絡或改變低電位就可以直接測量任意一只電池的電壓,測量方便。但是該方法需要數量眾多的運放和精密匹配電阻,成本高,且電阻的分散性會導致測量結果分散性較高。
文獻[4]提出采用開關矩陣構建測量電路,該方案成本低,測量精度高,但是需要絕對值電路。文獻[5]采用運算放大器結合繼電器的方法,可以克服溫漂問題,但是與采用模擬開關的方法一樣,也需要大量的運算放大器和繼電器,且繼電器會有壽命問題。
三、新型單體電池電壓檢測方法
1、整體方案
由于差分放大器可以克服共模信號的干擾,而只對差分信號進行處理。利用開關矩陣把每個單體電池的兩端引出,即可進行端電壓的測量而不受到其它電池的影響。該方案整體結構如圖2所示,當SB1和SB2閉合時,其它開關都關斷,電池BT1的兩端電位分別接入差分放大器的正端和負端,經過差分放大器放大后送入模數轉換器進行模數轉換;當SB2和SB3閉合而其它開關都關斷時,電池BT2的兩端電位進行差分放大器的正端和負端,依次類推可以測量所有電池組中的單體電池電壓。

圖2 拓撲圖
2、信號調理電路設計
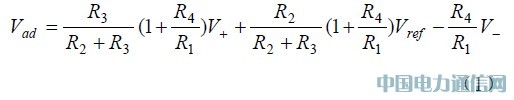
由于圖2中的線5和6上既存在有用的差分信號也存在共模信號,為了能夠抑制共模信號的影響,采用差分放大電路對差模信號進行放大,其電路如圖3所示。根據運算放大器的特性,得到電路的輸出信號與輸入信號關系為:

這里取R1 = R2 =10 kΩ,R3 = R4 = 5 kΩ,R1、R2、R3、R4均為精密電阻,因此有:

由于差模信號V+-V-可正(測量偶數標號電池)可負(測量奇數標號電池),所以必須提高Vref 以便進行模數轉換。

圖3 差分放大電路
從上述分析可以看出,整個信號調理電路只需要4個精密電阻和一個運算放大器,非常簡潔,而且運算放大只有在需要測量時才與相應的電池相連,不存在文獻[5]提到的漏電流問題。
3、開關矩陣的設計與優化
開關矩陣由光耦AQW214EH構成,它具有導通電阻極小,速度快的優點,如圖4所示。一個芯片內部集成了兩個具有光電隔離的開關,通過微處理器的I/O電平可以實現開和關。

圖4 光電繼電器電路
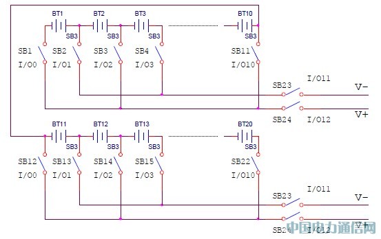
由圖2可以看出,當電池組有n個單體電池時,需要n+1個開關,如果每個開關用1個處理器I/O控制,則整個電路需要占用n+1個I/O,當單體電池數目較多的時候,普通的微處理器沒有辦法承擔。所以必須用更少的I/O數量來實現,在此,筆者使用了分時復用的辦法。下面以電池組有20個單體電池的情況為例進行說明。
在沒有分時復用時,需要占用21個I/O口。現在把電池組分成兩半,設計出新的開關陣,如圖5.第一部分為1~10號電池,第二部分為11~20號電池。給每個電池端設置一個開關(SB1~SB11,SB12~SB22),分別對單個電池進行選通,同時給每一組電池設置總開關(SB23~SB24,SB25~SB26),來選通第一或第二組電池。開關SB1~SB11和SB12~SB22就可以對應占用相同的微處理器I/O口,即I/O0~I/O10,從而總占用I/O就由21個減少到15個(包括4個總開關I/O)。當測量1號電池時,I/O0和I/O1為低電平,SB1、SB2、SB12、SB13閉合,同時閉合SB23、SB24,斷開SB25、SB26,則1號電池端電壓進入測量總線V+、V-,經過差分放大、模數轉換后便可算出端電壓,而SB12、SB13雖然閉合,卻沒有任何影響。同理,當測量11號電池電壓時,閉合SB1、SB2、SB12、SB13,同時閉合SB25、SB26,斷開SB23、SB24.測量其他電池時也進行類似處理。

圖5 開關矩陣
由上面的分析可以看出,每增加1組電池,只要增加兩個總開關I/O.考慮一般情況,假設每組m個電池,總共n組,那么需要的總I/O數就是m +1+ 2n .電池數越多,節省的I/O口越多。該電路的突出特點是不用任何的譯碼選擇芯片(比如3-8譯碼器),而只通過光電繼電器的組合來達到多選一的效果,所需元器件單一,分散性小。盡管AQW214EH的導通電阻非常小,還是存在一定壓降,這個可以通過多次試驗用軟件加以修正。
四、實驗結果與分析
為了驗證上述方法,設計了一個實驗系統,圖3中的運算放大器采用OP07,而模數轉換采用16位高精度A/D芯片AD7705.隨機抽取電池進行測量,測量電壓從2.7V~4.2V,每隔0.4V取一個測量點,每隔測量點測6個數據,如表1所示。
表 1 電壓轉換實驗結果

測量結果保留兩位小數點,從上表可以看出,本電路測量結果的最大絕對誤差基本上可以保持在15mV以內,最大相對誤差小于0.02%,完全可以滿足實際應用需求。
五、結論
串聯電池組的單體電池檢測具有重要實際意義,但是存在單體電池多,測量電路復雜等問題。本文利用開關矩陣對單體電池的端電壓進行切換,并采用差分運算放大器克服共模信號的影響。詳細設計了開關矩陣和差分運算放大器,并進行了優化。最后根據方案實現了電池組單體電壓的采集,實驗結果表明該方法的精度可以滿足要求。相對于其它方法,本方案具有電流簡潔,體積小,元件品種少等優點,有利于克服元件不一致引起的分散性。
參考文獻:
[1] 田效伍,王昭慧,鄭先鋒等。大功率鎬鎳電池智能檢測儀的研制[J].河南機電高等專科學校學報,2001,9(4):32-34.
[2] 歐陽斌林,董守田,果麗等。蓄電池組智能監測儀中的浮動地技術[J].電測與儀表,1998,35(396):35-37.
[3] 李樹靖,林凌,李剛。串聯電池組電池電壓測量方法的研究[J].儀器儀表學報,2003,24(4):212-215.
[4]繆傳杰,高琛,陳建清,陳文薌。串聯動力電池組單體電池電壓檢測新方法[J].傳感器世界,2010,16(4):29-31
[5] 古啟軍,陳以方,吳知非。 串聯電池組電壓測量方法的研究[J]. 電測與儀表,2002,39(5):26-29