摘要:為了加快功率放大器的設計并降低網絡運營成本提高網絡質量,文中在詳細分析基站功率放大器技術要求的基礎上,主要論述了基站功率放大器的設計參數和仿真過程,提出了一種利用ADS 軟件進行功放仿真和設計的方法。利用該方法對中心頻率為1960MHz 基站功放的功率增益、功率附加效率、三階互調等參數進行了仿真和設計,同時和測試結果進行了比較。結果表明利用該方法設計基站功放是可行的。
1 引言
隨著功放技術、基帶處理技術與射頻拉遠等技術的重大突破,基站性能大幅度提高,現已經進入了新一代3G 基站時代。移動網絡在實際使用過程中,由于地形環境的影響很多基站并未達到預期的效果。為了改善網絡覆蓋,通常有三種方法:①添加基站,覆蓋盲區;②增設直放站,延伸并擴大原基站信號,以增強信號覆蓋;③在原有的網絡設備基礎上,通過提高基站的發射功率擴大覆蓋范圍。基站功放就是一種通過提升基站發射功率來優化網絡覆蓋的解決方案。加裝基站功放后,基站輸出功率、有效覆蓋面積增加,因此覆蓋一定區域的基站數量可以減少。
文中就是在這種背景要求下,以飛思卡爾半導體的LDMOS 晶體管- MRF6S19060N 為例,在ADS 環境下仿真設計了一個應用在1930 ~ 1990MHz 基站的功率放大器。基站功放屬于大信號放大器,輸入功率和可控衰減范圍大、三階交調抑制比要求高等都是基站功放設計的難點。文中針對以上問題提出了單雙音信號分別輸入的仿真方法并給出了設計步驟,最后和測試結果進行了比較。仿真結果與測試結果的一致性說明了仿真的有效性。
2 基站功率放大器的技術要求
作為優化網絡信號覆蓋的一種解決方案,基站功率放大器(加塔頂放大器) 具有較高的實用價值。
基站功放作為基站射頻信號的輸出必須保證其輸出信號滿足移動通信系統的技術規范對空中射頻信號的所有技術要求。主要有以下幾個方面的要求:
(1) 輸出功率。
輸出功率應符合通信系統基站發射功率等級要求。鑒于目前國內大部分GSM 系統基站輸出功率等級為5 級,且塔頂放大器能將噪聲系數改善6dB,因此基站功放一般也按6dB 增益提高,把以前5 級提高到3 級,這樣輸出功率也有一定的改善。
(2) 增益。
基站功率放大器的增益應能滿足不同基站功率等級需要,根據上行鏈路中塔頂放大器的增益進行調整,以達到上下行鏈路的平衡。一般要求大于6dB.
(3) 互調失真。
根據TS GSM05. 05 要求,GSM 系統單載波信號滿功率輸出時,IMD 小于- 26dBc, 用雙音測試法測試,當峰值包絡功率等于最大輸出功率時,IMD<- 26dBc.
(4) 雜散發射。
GSM 系統基站功率放大器的雜散發射按GSM05. 05 技術規范要求,應滿足:0. 9kHz ~1GHz 范圍內≤- 36dBm; 1GHz~ 12. 75GHz 范圍內≤- 30dBm. 因此,基站功率放大器必須具備一定的濾波功能,一方面濾除上行頻帶內的噪聲,另一方面抑制因功率放大器非線性而產生的諧波失真分量。
(5) 端口駐波。
基站功率放大器插入BTS 后,必須不影響原系統的匹配,一般要求功率放大器輸入、輸出端口駐波系數小于1. 2。
3 設計功放主要特性及仿真步驟
下面是主要仿真基站功放性能參數:
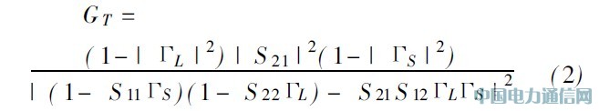
(1) 轉換功率增益G T : 當放大器的輸入阻抗和信號源的內阻共扼匹配時,信號源到放大器之間有最大的功率傳輸,此時有下式成立:

其中,PL 為負載吸收的功率,PA 為信號源的資用功率。用放大器的S 參數和反射系數可表示為:

而且功率增益也可直接用S 參數仿真結果得到。
(2) 功率附加效率(PAE) : 功率附加效率是指射頻輸出功率和輸入功率的差值與供給晶體管的直流功率之比:

其中,POU T 為射頻輸出功率,PIN 為射頻輸入功率,P INQ 為直流輸入功率。它既反應了直流功率轉化為射頻功率的能力,又反應了放大射頻功率的能力。
(3) 三階互調失真(IMD3) : 輸出功率的三階互調分量與基波分量之比,單位為dBc 時表示為:
同時還仿真了理想輸出功率和增益壓縮輸出功率與輸入功率的關系曲線。
在對功率放大器進行仿真之前,需要做的準備工作主要包括:確定仿真工具軟件、用于仿真的功放晶體管模型、采用的電路結構和設計方法等。主要仿真步驟為:①將晶體管模型庫導入到ADS 模型庫中; ②根據放大器的要求和晶體管特性確定靜態工作點;③ 進行功率放大器的電路設計,包括阻抗匹配、偏置電路和直流厄流等;④確定仿真類型和仿真參數以及ADS 環境下的所需的一些變量;⑤對所設計電路進行仿真,然后分析這些曲線并得出結論。
4 仿真實例
本次設計實例中采用了飛思卡爾公司的MRF6S19060N 晶體管測試板作為功率放大器,對本放大器的一些特性進行仿真,其頻率范圍為1930MHz~ 1990MHz, 工作電壓為DC28V, 輸出平均功率為12W(31. 08dBm) , 增益為16dB. 該晶體管是LDMOS 功率管,具有增益高、輸出功率大以及良好的線性度、較高的性價比和高可靠性等特點,非常適合用于設計基站功率放大器。
4. 1 靜態工作點的確定
靜態工作點仿真主要是選擇放大器的工作狀態,確定靜態工作點。根據仿真步驟首先在ADS 中導入飛思卡爾的LDMOS 模型庫,并調出MRF6S19060N 模型。建立如圖1 所示的直流仿真電路圖。

圖1 確定靜態工作點電路圖
在晶體管的技術參數中,需要通過仿真和實際測試獲得柵極電壓。圖2 為MRF6S19060N 晶體管的靜態工作點特性曲線。在特性曲線中,可以發現靜態工作點即圖2 中m1 點,V DD= 28V, I DQ = 0.606A, 從而得到柵極電壓VGS = 2. 7V, 這樣靜態工作點就確定了。

圖2 晶體管直流特性曲線和靜態工作點
4. 2 器件的穩定性分析及增益仿真結果
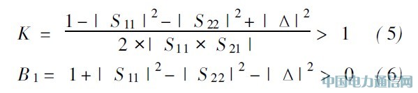
放大器電路必須滿足的首要條件之一是其在工作頻段內的穩定性。因為射頻電路在某些工作頻率和終端條件下有產生振蕩的趨勢。它一般取決于晶體管的S 參數和置端條件。功率放大器的穩定性可以根據穩定因子來判定,計算公式如下:

或者滿足下列公式:

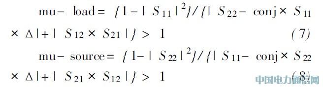
如果因不穩定在輸入或輸出端口出現負阻時,就可能發生振蕩,則需要采用在輸入或輸出端串聯或并聯負反饋的方法使晶體管穩定。仿真實例中采用ADS 自帶mu- load 和mu- source 公式滿足的條件來判定功率放大器穩定性,通過仿真可以得到器件的穩定性曲線如圖3 所示。由下圖仿真結果可見在工作頻率范圍內mu- load 和mu- source 都大于1 滿足絕對穩定的條件。

圖3 穩定性分析結果
基站功率放大器的增益應能滿足不同基站功率等級需要,根據上行鏈路中塔頂放大器的增益進行調整,以達到上下行鏈路的平衡。在高增益方案中,信號增益可用S 參數仿真dB(S (2, 1) ) 來衡量。圖4為放大器的增益仿真結果,能夠看到在整個工作頻率范圍內都符合增益大于16dB 的要求。

圖4 S21(增益) 仿真結果
4. 3 單音信號仿真電路與仿真曲線
單音信號仿真是掃描功率的諧波平衡仿真,主要是得到ldB 壓縮點和放大器的功率附加效率曲線。圖5 是單音信號仿真電路圖,這里頻率設定為中心頻率1960MHz.

圖5 單音信號仿真電路圖
圖6 和圖7 為由以上電路原理圖仿真得到的輸入輸出功率關系和功率附加效率仿真結果,能夠看到當輸入功率為31dBm 時,P1dB即圖6 中的m2 輸出為45. 686dBm. 圖7 給出了功率附加效率在10%~ 50%范圍內隨著輸入功率的變化曲線。由此可知輸出功率及效率達到了基站功放的要求。

圖6 理想輸出功率和增益壓縮輸出功率曲線

圖7 功率附加效率仿真結果
4. 4 雙音信號仿真結果
雙音信號仿真是測試放大器線性度的重要手段,它是將頻率相近的射頻信號輸入到放大器,利用諧波平衡法,得出放大器輸出信號中的三階互調失真分量與基波信號的相對關系。將輸入的雙音信號頻率分別設置為1958. 75MHz. 和1961. 25MHz的正弦信號,則三階互調失真的頻率分別為1953.75MHz 和1966. 25MHz. 圖8 為雙音信號的仿真結果。由仿真結果可以計算出IMD3 為- 32. 68dBc.

圖8 雙音互調仿真結果
通過對比有關晶體管MRF19060N 的特性曲線和仿真結果可知,仿真結果和測量結果是一致的,但也存在一些微小差別。這主要是由于實際的器件和仿真模型不完全相同造成的。
5 結束語
文中針對基站功率放大器的輸出功率大以及良好的線性度、較高的性價比和高可靠性等要求,通過采用ADS 軟件的仿真和設計實現了基站功率放大器的性能要求。這不但能夠擴大基站覆蓋范圍,提高通信質量,同時也節省了開發的成本。文中給出了仿真特性的電路圖和仿真后的特性曲線,同時對仿真曲線和實際測試的特性曲線進行了比較,比較結果表明得到的仿真曲線和實際測試曲線是一致的,表明這種設計方法和步驟是可行的。可以有效地應用于基站系統來提高基站的發射功率,使原有盲區范圍變小甚至實現無盲區覆蓋,達到改善通話質量、提高經濟效益的目的。