王 彬,丁振國
摘 要:在計算機網絡中,當雙絞線過長、質量太低或布線工藝較差時,網絡往往無法連通。為了解決此問題,提出了一種解決方法,并用傅里葉公式對其進行了理論分析。
關鍵詞:網絡工程;雙絞線;傅里葉公式;Internet
Non-standard Applications of Twisted-pair in Long Distance
Distribution for a Computer Network
(Xidian University,Xi′an,710071,China)
Abstract:For a computer network,when the twisted-pairis too long or its quality is too poor orthe processing oftwisted pairdistribution is worse,the computer network can not be kept connected frequently.To solve this problem,the paper proposes asolution and analyzes it using Fourier formula in this paper.
Keywords:network engineering;twisted-pair;Fourier formula;Internet
一般來說,計算機網絡布線系統采用何種線纜,需要根據實際的需求和線纜的相關使用標準來進行選擇。例如:按照以太網(IEEE802.3系列)標準,如果主機與網絡設備之間的距離超過100 m,就不應使用雙絞線布線。但是在實際的網絡設計中,常常會遇到一些特殊情況,如:“沒有足夠的資金購買光纜等媒介及兩端設備”或“臨時性機構,沒有必要使用昂貴的線纜”,使我們面臨難以抉擇的境地。
本文主要討論當距離超長時,在工程實際中是否可以非標準的使用雙絞線布線。
從原理上分析,對于雙絞線布線距離的限制主要有以下2個方面:以太網的最短幀長和距離超長造成的線纜傳輸特性下降,下面將分別進行分析。
1 以太網中最短幀長對線纜長度的限制
以太網絡的工作方式可以簡單的使用“載波偵聽/沖突檢測(CSMA/CD)”來描述。其中的“沖突檢測”表示:當某計算機(如:主機A)以廣播的形式發送某幀時,在發送的過程中一直檢測信道,通過比較發出信號是否與檢測到的信號一致,決定發出的幀是否和其他計算機(如:主機B)發出的幀產生了沖突,如果A主機在發送某幀的過程中沒有檢測到沖突,就認為這一幀發送成功。
但是,如果幀與鏈路的沖突域相比太短,就會發生圖1中“沖突檢測”失敗的情況。
如圖1(a)所示,主機A發出一幀,由于幀長與鏈路的沖突域相比較短,在發送的過程中沒有檢測到沖突,認為此幀已經發送成功。
如圖1(b)所示,主機A與主機B分別處在沖突域的兩端,電磁波從A主機傳送到B主機需要的時間為τ。幀頭差時間ε還沒有到達B主機。
如圖1(c)所示,由于主機B還沒有檢測到主機A發出的幀,所以有可能也發出一幀。在主機A發出幀時間τ后,在主機B處發生了沖突。
如圖1(d)所示,沖突的信號需要再經時間τ才能到達主機A。
結果:主機A認為這幀已經發送成功,但實際上此幀在主機B處發生了沖突,“沖突檢測”失敗。

所以每幀必須至少可以持續發送2τ時間(即經過2τ時間后此幀還沒有發送完),這樣才能保證“沖突檢測”機制的成功。
τ的大小由網絡協議標準定義,當τ確定后,則最短幀長也被確定,反過來一個沖突域的最大范圍便被確定(在10 Mb/s以太網中,2τ被定義為51.2μs,最短幀長為64 B,一個沖突域最多由4個中繼器組成),進而一個沖突域中的線纜最大長度也會有一個限制。
分析原因:早期的同軸電纜只有一個總線式信道,并且網絡設備大多為物理層的設備(如:中繼器,HUB),他無法擺脫以太網的多主機共享鏈路方式(CSMA/CD)的本質所造成的限制。
但實際上,一條雙絞線內有8根線纜可供使用,并且數據鏈路層的設備(如:交換機)的價格大大下降。現在可以徹底地擺脫這種限制。解決的方法是:使用交換機將每一段線纜劃分成不同的沖突域,并將網絡接口設備的工作模式設置為全雙工。這樣每個主機在收和發的方向都有了一個專用的信道,不再需要CSMA/CD,也就沒有了沖突域對線纜長度的限制。所以以太網的最短幀長對線纜長度的限制是可以被解決的。
實際上在萬兆以太網協議(IEEE802.3ae)中,就沒有定義CSMA/CD的工作模式,其中重要的一個原因就是為了取消沖突域對網絡線纜長度的限制。
2 隨距離增加,線纜傳輸特性的下降對線纜長度的限制
2.1 信號總體功率下降對線纜長度的限制
正常情況下,五類雙絞線的直流阻抗為9Ω/百米,當雙絞線長度不超過200 m時,其直流阻抗在18Ω(9Ω/百米×2百米)以內。而布線要求總阻抗不能大于19Ω。所以200 m以內雙絞線的直流阻抗引起的信號總體功率下降,一般不會影響接收設備對信號的獲得,所以在此距離采用五類雙絞線布線可以不必考慮直流阻抗的影響。
2.2 線纜頻率特性下降對線纜長度的限制
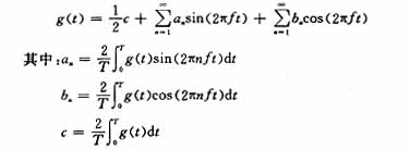
根據傅里葉級數公式:

任何持續的數據信號,都可以被分解為正弦和余弦函數的n次諧波。
在計算機局域網中,使用雙絞線進行基帶傳輸[1](即數字信號不經過任何調制,而是只經過簡單的頻譜變換或碼形變換后就直接送往傳輸信道)。這樣就可以將雙絞線上的傳輸信號作為方波進行分解,變換為諧波后再進一步研究。
如圖2所示[2],當方波信號通過一個低通信道時,可以等幅衰減通過的諧波數量越多,則接收設備正確識別原始方波信號的可能性就越大,反之信號將難以識別。
如圖3所示,雙絞線的頻率特性正是一個低通信道,可 以等幅衰減的通過從A點(低頻)到C點頻率的諧波。當線纜距離過長時,會造成AC之間的距離變窄及等幅衰減通過諧波數量下降。


下面按照4種不同假設情況進行推導并得出結論。
假設1:
①長度為100 m的五類非屏蔽雙絞線;
②雙絞線上傳輸速度為100 Mb/s的信號;
③雙絞線的等幅衰減的帶寬為BHz(如圖3):B=C-A。
推導1:
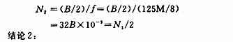
由于在傳輸速度為100 Mb/s的以太網中,采用的編碼方式是4B/5B(即為解決傳輸中的同步問題,實際使用5 b的碼組來編碼4 b的實際輸入數據[3]),則通信線路上實際傳輸的方波信號每秒狀態的變化次數為125M,即125M b/s。
如果每秒信號變化125M次,則狀態變化8次需要的時間為:8/125M s。
根據傅里葉級數公式,一次諧波的周期T為:8/125M s;一次諧波的頻率f為:125M/8 Hz。
方波信號(每秒狀態變化次數為125M次)通過長度為100 m五類雙絞線后,可以等幅衰減通過的諧波數量N1(個)為:

結論1:
因為假設1符合五類雙絞線的布線標準,所以當等幅衰減通過的諧波數量為N1時,接收方設備可以識別。
假設2:
①長度為大于100 m的五類非屏蔽雙絞線;
②雙絞線上傳輸速度為100 Mb/s的信號;
③雙絞線的等幅衰減帶寬變窄為B/2 Hz。
推導2:
可以等幅衰減通過的諧波數量N2(個)為:

隨著雙絞線長度的增加,其等幅衰減頻寬B變窄后,可以通過的等幅衰減諧波數量也將減少,如圖2所示,當N2小于4時輸出信號將難以被接收設備識別。
然而在假設2下,很難保證等幅衰減通過足夠的數量的諧波。
根據公式N=B/f,當B減少時,只有降低f(即降低雙絞線上信號的傳輸速度),才能保證N不變。
假設3:
①長度大于100 m的五類非屏蔽雙絞線;
②雙絞線上傳輸速度降為10 Mb/s的信號;
③雙絞線的等幅衰減的帶寬變窄為B/2 Hz。
推導3:
在以太網協議中,10 Mb/s與100 Mb/s為最常見的數據傳輸速度,所以可以考慮將數據傳輸速度降為10 Mb/s。
在10 Mb/s的以太網中,采用的是曼徹斯特編碼(即為了解決傳輸中的同步問題,實際使用2 b的碼組來編碼1 b的實際輸入數據),所以通信線路上實際傳輸的方波信號每秒狀態的變化次數為20M,即20M b/s。
如果每秒信號變化20M次,則狀態變化8次需要的時間為:8/20M s。
根據傅里葉級數公式,一次諧波的周期T為:8/20M s;
一次諧波的頻率f為:20M/8 Hz。
方波信號(每秒狀態變化次數為20M次)通過此雙絞線后,可以等幅衰減通過的諧波數量N3為:

即使線纜長度增加導致了等幅衰減帶寬變窄一半,但如果將數據傳輸速度降為10 Mb/s,假設3下可通過的諧波數量N3將為假設1(正常情況)下N1的3.125倍。
在此情況下,接收方設備完全可以識別信號。
假設4:
①長度為大于100 m的五類非屏蔽雙絞線;
②雙絞線上傳輸速度為10 Mb/s的信號;
③雙絞線的等幅衰減的帶寬變窄為B/k Hz;
④等幅衰減通過的諧波數量N4=N1。
推導4:

結論4:
在假設4下即使線纜等幅衰減帶寬下降為原來16%(1/6.25),只要降低數據通信的速度,也可以保證接收的諧波數量達到正常的情況(假設1)下的N1,即接收方可以正確識別。
3 結語
根據以上的分析,筆者認為在設計一段距離為200 m以內的線路的時候,可以非標準的使用雙絞線進行布線,但具體應采用以下方法:
(1)為保證整體網絡的速度,可以使用接口為10/100 Mb/s自適應的交換機,但將與這條雙絞線連接的交換機端口強制設為10 Mb/s和全雙工模式。
(2)采用五類或超五類雙絞線布線,提高施工工藝,盡量避開強干擾源,以減少線纜性能參數的下降。
在實際工程中,對使用一段長度約200 m的雙絞線進行連接的計算機進行測試:
①使用IE瀏覽器訪問Internet正常;
②使用ping程序進行測試,10 min丟包率為0%。結果證明以上基于傅里葉的分析是合理的。
另外,本方法也可以適用于早期的3類雙絞線或由于線纜品質低及布線工藝較差造成無法在10/100 M自適應網絡中使用的情況,可以降低成本并減少重新布線的麻煩。當然如果雙絞線的長度進一步增加,那么直流阻抗及其他參數對總功率的衰減,可能會造成接收設備無法檢測到信號,所以這種依靠降低速度來實現通信的手段只能在一定的范圍內使用。
參考文獻
[1]張應中.數字通信工程基礎[M].北京:人民郵電出版社,1987.
[2]AndrewSTanenbaum.計算機網絡(第3版)[M].北京:清華大學出版社,1998.
[3]高傳善.數據通信與計算機網絡[M].北京:高等教育出版社,2000.