王祥忠
摘要:系統地描述了偶極板天線水平和垂直方向性函數,介紹了偶極板天線的主要參數選擇原則,討論了兩種常用的波束下傾和零點填充方案,提出了總體設計中必須注意的問題。
關鍵詞:偶極板天線 方向性函數 主波束下傾
Abstract:This paper describes horizontal and vertical directivity functions of dipole planar antenna, introduces the principles on the determination of main parameters and discusses two frequently used schemes for obtaining down ward inclined main lobe and zero points cancellation.Some points on which attention must be paid in system design are pointed out.
Key words:Dipokle planar antenna Directivity function Main lobe down ward inclinecelld
帶反射板的偶極子天線(下稱偶極板天線)是目前國內外廣播電視工程上廣泛使用的一種天線。這種天線增益較高(四層雙偶極板天線增益可以做到8 dB),頻帶較寬,米波段調配f0±50 MHz帶寬很容易,帶內駐波比SWR≤1.05,分米波段一副天線能進行多電視頻道電視發射,水平方向圖不圓度可以做到≤±2dB,并且具有安裝容易、調試簡單、天線效率高等特點。
1 偶極板天線方向性函數圖
1.1 單偶極子天線方向性函數
(1)
式中
為水平方向性函數;Fv(Δ)=1為垂直方向性函數;l為振子總和長度; λ為波長;θ為方位角;Δ為俯仰角。
不同臂長l的偶極子天線水平方向性圖如圖1所示。

圖1 不同臂長l的偶極子天線水平方向性圖
廣播電視工程上振子臂長l的選擇,要以獲得較高的增益、同時又滿足水平全向性為原則,一般宜選l=(0.6~0.7)λ。實際使用的振子長度應當為諧振長度,一般振子實際長度l0=0.95l 。
偶極子天線垂直方向性函數Fv(Δ)=1,這就是說偶極子天線垂直方向性圖是關于振子軸線的旋轉體。
1.2 單偶極板天線方向性函數
單偶極板天線的水平方向性函數,可用鏡像法由圖2求得。

圖2 帶反射板的偶極子天線及其鏡像
y軸為無限大反射板俯視線,A為有源振子,電流方向朝上,B為其鏡像。根據理想導體表面電場強度的切向分量為零的邊界條件,鏡像電流方向應當朝下。H為振子離反射板的距離。
對于r
H平面上任一點P,源振子和其鏡像構成一個等幅反相二元天線陣,其陣因子的模

式中φ=k(2Hcosθ)-π為鏡向電流B到P點滯后的相位差;k=2π/λ為自由空間傳播常數。
根據方向性函數相乘原理,單偶極板天線水平方向性函數
(2)
由上式可見,由于反射板的作用,在主輻射方向θ=0 °,原場強增加了2sin(kH)倍。
反射板對偶極子天線輻射場的影響,可由陣因子f1(θ)=2sin(kHcosθ)來研究。圖3 給出了
為不同值陣因子f1(θ)的方向圖。

圖3 不同H/λ值陣因子f1(θ)方向圖
由圖可見,不論
值是多少,在
方向都是零輻射方向。對于相同的波長λ來說,振子離反射板的距離H愈大,方向圖的波瓣愈多。
為了減少副瓣和零點,同時又要保證一定的方向性系數,工程上一般取
為宜。
單偶極板垂直方向陣因子f2(Δ),可用相同的方法,由圖4 直接推出f2(Δ)=2sin(kHcosΔ)

圖4 垂直方向陣因子f2(△)
因此單偶極板天線垂直方向性函數為
(3)
2 多層多面偶極板天線陣方向性函數
2.1 天線陣水平輻射場
廣播電視工程上實際使用的偶極板天線,一般是由多塊偶極板組成的多層多面偶極板天線陣,而每塊板由二或四偶極子構成。每層由四塊偶極板正裝而成的天線陣俯視圖如圖5所示。

圖5 四塊正裝偶極板天線俯視圖
該天線陣在遠區任一點P的水平場強EP(θ),根據矢量疊加原理
(4)
|
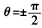
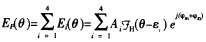
式中Ai為第i副天線輻射場的相對振幅值; H(θ-εi)為單偶極板天線的水平方向性函數;εi為第i副天線主輻射方向與x軸正方向夾角;φH i為第i副天線以坐標軸原點為參考,由于波程差引起的空間相位角 φH i=kRcos(θ-εi) R為原點到偶極子的距離;φK i為第i副天線輸入端電流相位角,可以同層中任一副天線入口電流為參考,超前為正,滯后為負。 偏置側裝式如圖6所示。

圖6 四塊側裝偶極板天線陣俯視圖
由圖6不難推出 式中 r為振子中心的偏置位移。 在計算圖5所示的四面正裝偶極板天線陣水平方向性函數時,考慮到反射板的作用以及幾何對稱性,實際上只需要計算偶極板A1,A2在第一象限的方向圖即可,其余象限的方向圖由此可以推出。 電流等幅同相饋電正裝情況下,忽略f1(θ)的相位函數,式(4)可以簡化成   相對場強Ep(θ)的模(這里也是水平方向性函數之模)  2.2 天線陣垂直輻射場 為了增強垂直方向圖的方向性系數,提高增益,擴大覆蓋面,如前所述,實際使用的偶極板天線,垂直方向上每列都是由多層單元天線構成的天線陣。四層直立式天線陣一列側式圖如圖7所示。

圖7 四層直立天線陣俯視圖
如圖7 所示的n個相似的單元天線,中心以等距離d排列在同一直線上,電流振幅相等,電流相位按等差數列自下而上滯后β的天線陣,稱之為勻直線天線陣,其陣因子 (6) 陣因子f3(Δ)對垂直輻射場的影響,可由圖8來討論。

圖8 陣因子f3(△)方向圖
為了避免垂直方向圖出現柵瓣,工程上單元天線之間的距離d一般不超過λ/2。 對于這種均勻直立式天線陣,垂直方向性函數
(7) 考慮到波束下傾和零點填充問題,廣播電視天線常用機械下傾和各層電流振幅及相位不等饋電法。機械下傾如圖9所示。這種情況下垂直方向輻射場強可由下式計算

圖9 機械下傾板相位滯后圖
(8) 式中 為第i層天線單元的垂直方向性函數;δ為第i層天線單元的機械下傾角;φvi為以某一點為參考,由于波程差引起的空間輻射相位差。以下一層中點為參考,傾斜板相位滯后角 (9) 其中L為層間距離,l為偶極板的高度;Ai和φKi分別為第i層天線單元入口電流振幅和相位的相對值。
3 偶極板天線總體設計中必須注意的幾個問題
3.1 水平方向性圖的不圓度 全向發射天線水平輻射場是旋轉場,和水平方向性圖不圓度是兩個截然不同的概念。廣播電視發射天線要求在水平方向上全向輻射,水平方向性圖的不圓度要求≤±2 dB,這在設計中是必須注意的問題之一。 作為一個設計實例,圖5所示的四面正裝等幅同相饋電的偶極板天線陣,振子臂長l=0.7λ振子離反射板的距離H=λ/4,偶極子中心點離塔軸線距離R分別取1λ,1.2λ,1.5λ,根據式(5)計算得到的水平方向性圖如圖10所示。 |

|
注:l=0.7λ H=λ/4 (a)R=1λ (b)R=1.2λ(c)R=1.5λ 圖10 圖5天線陣水平方向圖
由圖10可見,對于以上給定的參數,為了滿足水平方向性圖不圓度≤±2 dB指標,就必須使得R<1.2λ。這對于米波段天線來說可能是不難做到的,但對于分米波段電視天線,由于塔體水平截面的限制,往往就很難實現。在這種情況下,為了改善水平方向性,工程上常采用多面形發射天線陣來解決。具體設計方法,可參見有關文獻[2]。 3.2 垂直方向性圖的畸變 當均勻直立天線陣的層數較多時,垂直方向性圖主要由(6)式f3(Δ)陣因子所決定。由(6)式可以推導出最大輻射方向俯仰角 Δmax=sin-1β/kd (10) 各層電流同相饋電時,β=0°最大輻射角Δmax=0°即主輻射方向與塔中垂線垂直,稱之為正側射陣。 β < 0°亦即天線陣自下而上各層電流相位超前一個相位角,Δmax< 0°,主輻射方向下傾。 β > 0°亦即天線陣自下而上各層電流相位滯后一個相位角,Δmax> 0°,主輻射向上翹。 特別當β=kd時,這時主波束與地面垂直,變成了端射陣。 各層電流出現非理想相位差,這是極易發生的。主饋管之間、分饋線之間電氣不等長,設計中借不等長分饋線達到波束下傾目的,而實際施工中錯誤裝配等等,均能使垂直方向圖畸變。 圖11是黃山701臺1993年調頻天線改造時的天饋系統配置圖。兩部10 kW調頻發射機工作頻率中心頻率f1=91.5 MHz,f2=103.6 MHz設計中心頻率f=100 MHz 。整個天饋系統設計為雙二雙饋四層四面偶極板形式,每塊偶極板設計為雙偶極子,偶極子間距離d=λ/2。一面側視圖如圖12所示。

圖11 雙工雙饋調頻天饋系統配置圖

圖12 四層雙偶極板天線側視圖
安裝調試后,在兩根主饋管入口處測得的駐波比WSR≤1.05,由于客觀原因,兩根主饋管在施工中只作了幾何等長處理,改造后的實際效果很差。 以后經MA3620網絡分析儀對兩根主饋管電氣等長進行了重新測試,結果如表1。
表1 主饋管相位電器測試結果 |
| 中心頻率 |
主饋管1 |
主饋管2 |
主饋管3 |
| 100MHz |
21° |
332.2° |
311.2° |
| |
池門 |
祁門 |
黃山區 |
黟縣 |
| 等長前/dB |
18 |
23 |
66 |
68 |
| 等長后/dB |
>46 |
53 |
74 |
77 |