摘要:介紹了LTE技術的演進過程和LTE標準的主要性能指標。通過LTE技術與HSPA+技術的分析比較,闡述了LTE技術的性能和優點。并在此基礎上,展望了LTE-A的4G演進方向。
0 前言
隨著移動數據業務的大量應用以及新業務種類的出現,對移動通信網絡性能和質量方面的要求越來越高。中國移動通信運營商從2001年左右啟動GPRS數據網絡的部署工作,經過了短短10年左右的時間,移動通信就迅速從2G商用進入4G試驗網建設階段。對移動通信用戶來講,這意味著網絡性能的提高和質量的改善,而對運營商來講,則意味著面臨網絡演進方向的選擇以及網絡運營和融合方面的挑戰。
數據業務的演進一直朝著業務速率增加、時延降低以及QoS提升的方向邁進。為了實現這些目標,一系列新的技術和手段都逐步被引入到通信系統中,如高階調制、多天線技術、新的無線接入方式等,也正是這些新的技術點帶來了通信標準的迅速發展,LTE就是面向長期演進的體系和網絡,它實際上并不是一個標準,但是它導致了3G標準的全面演進。目前3G網絡已經普遍引入了HSDPA和HSUPA,下一步將面臨HSPA+與LTE演進方向選擇的問題,分析LTE的演進路線和標準化的過程以及它與HSPA+的異同,無疑有助于更深入地了解目前和未來網絡的演進方向。
1 LTE標準演進過程
GSM網絡是最早出現的數字移動通信技術,它基于FDD和TDMA技術來實現,由于TDMA的局限性,GSM網絡發展受到容量和服務質量方面的嚴峻挑戰,從業務支持種類來看,雖然采用GPRS/EDGE引入了數據業務,但是由于采用的是GSM原有的空中接口,因此其帶寬受到限制,無法滿足數據業務多樣性和實時性的需求。在技術標準發展方面,針對GPRS提出了EDGE以及EDGE+的演進方向,但是基于CDMA接入方式的3G標準的出現使得EDGE不再進入人們的視線。
CDMA采用碼分復用方式,雖然2G時代的CDMA標準成熟較晚,但是它具有抗干擾能力強、頻譜效率高等技術優勢,所以3G標準中的WCDMA、TD-SCDMA和CDMA2000都普遍采用了CDMA技術。
演進到3G網絡時,GSM系統可以采用WCMDA或者TD-SCDMA的路線,而CDMA則使用CDMA2000的途徑。WCDMA和TD-SCDMA早期標準為R99,后來在R4版本中引入IMS,R5版本中引入HSDPA,R6版本中引入HSUPA,R7版本中引入HSPA+,R8版本則面向LTE,CDMA系列的演進經由CDMA2000到CDMA1x再到UWB的方向發展,演進路徑如圖1所示。

各版本中都通過使用新技術來提升網絡性能和服務質量,采用吞吐量進行對比,結果如表1所示。

LTE是面向未來的移動通信技術標準,早在2004年底,3GPP就啟動了LTE技術的標準化工作,并在2009年3月發布了R8版本的FDD-LTE和TDD-LTE標準,這標志著LTE標準草案研究完成,LTE進入實質研發階段。R9版本中進一步提出了LTE-advanced(LTE-A)的概念,LTE-A于2010 年6月通過ITU的評估,于2010年10月正式成為IMT-A的主要技術之一,它是在R8版本基礎上的演進和增強。R10版本對其加以完善,是LTE-A的關鍵版本。
LTE采用正交頻分復用(OFDM)、多進多出天線(MIMO)等物理層關鍵技術以及網絡結構的調整獲得性能提升。LTE-A則引入了一些新的候選技術,如載波聚合技術、增強型多天線技術、無線網絡編碼技術和無線網絡MIMO增強技術等,使性能指標獲得更大改善。
2 LTE基本性能要求
在LTE系統設計之初,其目標和需求就非常明確。作為后3G時代革命性的技術,LTE把降低時延、提高用戶傳輸數據速率、提高系統容量和覆蓋范圍作為主要目標。具體性能要求如下:
a)支持1.4、3、5、10、15和20MHz帶寬,靈活使用已有或新增頻段;并以盡可能相似的技術支持“成對”頻段和非“成對”頻段,便于系統靈活部署。
b)20MHz帶寬條件下,峰值速率達到上行50Mbit/s(2×1天線),下行100Mbit/s(2×2天線)。
c)在有負荷的網絡中,下行頻譜效率達到3GPP R6 HSDPA的2~4倍,上行頻譜效率達到R6 HSUPA的2~3倍。
d)在單用戶、單業務流以及小IP包條件下,用戶面單向延遲小于5ms。
e)從空閑狀態到激活狀態的轉換時間小于100ms,從休眠狀態到激活狀態的轉換時間小于50ms。
f)支持低速移動和高速移動。低速(0~15km/h)下性能較好,高速(15~120km/h)下性能最優,較高速(350~500km/h)下的用戶能夠保持連接性。
除了性能指標要求之外,在操作性、互聯互通性以及業務支持等方面,LTE技術都提出了具體要求,比如支持與現有3GPP和非3GPP系統的互操作;支持增強型的廣播和多播業務;降低建網成本;支持增強的IMS和核心網;取消電路域,所有業務都在分組域實現,如采用VoIP,支持簡單的鄰頻共存;為不同類型服務提供QoS 機制,保證實時業務的服務質量;允許給UE分配非連續的頻譜;優化網絡結構,增強移動性等。因此,與其他無線技術相比,LTE具有更高的傳輸性能,且同時適合高速和低速移動應用場景。
3 LTE與HSPA+的性能比較
HSPA+作為HSPA技術的直接演進,在R7版本中引入,與LTE共同經歷了R8、R9版本的發展。HSPA+的出發點在于對投資成本及平滑演進的考慮,因此具有一定的局限性,這種演進只能算是一種技術“改良”。與之相比,LTE作為著眼于4G的主流演進技術,可以稱得上是一種技術“革命”。 LTE與HSPA+的性能差異體現在吞吐量、時延、頻譜效率等方面。
3.1 吞吐量
吞吐量是指單位時間內成功地傳送數據的數量,是衡量無線通信系統性能的重要指標。影響吞吐量的因素包括帶寬、調制方式、信號質量、信道衰落、噪聲干擾、調度機制等。
考慮到向后兼容和升級成本,HSPA+的載波帶寬沿用了WCDMA以來的5MHz。采用2×2 MIMO配置和16QAM調制方式時,HSPA+峰值速率為28Mbit/s,采用2×2 MIMO配置和64QAM調制方式時,峰值速率為42Mbit/s。而LTE系統可以支持20MHz的帶寬,LTE-A可以支持100MHz的帶寬。更大的帶寬使LTE系統擁有比HSPA+更大的傳輸容量。
LTE系統下行支持SU-MIMO、MU-MIMO和基于參考信號的波束賦型等多種多天線陣列技術,支持8種不同的MIMO和波束成型模式,并且可以同時支持多個數據流的傳送。LTE中每個用戶下行可支持2個流,而LTE-A中下行可支持8個流,還可以采用4×4、8×8等類型的收發方式,而目前所定義的HSPA系統只支持發射分集和2×2 MIMO。MIMO技術應用的豐富性和多樣性使LTE的吞吐量更優。
LTE使用自然均衡器,如果RMS時延擴展小于CP長度,就不會產生系統間干擾。而HSPA+使用Rake接收機,不能完全消除系統間干擾,因此多徑環境下性能會下降。LTE系統中,下行采用MLD+SIC接收機,上行采用SIC接收機,這些先進的接收機技術能夠進一步降低干擾。
另外,HSPA+不采用頻率選擇性調度,只在時域使用機會性調度。而LTE得益于頻率選擇性調度機制,在時域和頻域都可以進行機會性調度,其容量增益約為10%~15%。對于PS域的典型語音應用——VoIP來說,HSPA+中不再使用HS-SCCH,下行的容量得到改善,但上行仍然是限制因素。而LTE則采用半持續性調度和TTI綁定技術來降低控制信道開銷,極大地改善了VoIP容量。
LTE和HSPA+的理論最大傳輸速率如圖2所示。從圖2中可以直觀地看出,當采用最大帶寬配置時,LTE的傳輸性能遠遠超過HSPA+,其吞吐量約為后者的8倍。

3.2 時延
時延是數據在網絡中傳送所需要的環回時間。無線通信技術發展至今,每次技術演進都在努力降低時延。相比于 EDGE的150ms,HSDPA的時延小于70ms。而后HSUPA、HSPA+和LTE的時延則更低。HSPA+為了更好的兼容性,基本是沿襲了HSPA的網絡架構,而在LTE系統中,則有了全新的變化。首先是無線接入系統只有一種網絡結點,那就是eNodeB。eNodeB替代了3G網絡中的NodeB和RNC,主管無線接入功能。eNodeB和eNodeB之間引入了X2接口,一部分業務流量可直接在基站之間處理,而不用再發往核心網絡,大大提高了數據處理效率。LTE接入網的架構演進如圖3所示。

在單元化接入網網元的同時,LTE的核心網節點也進行了簡化,通過網絡扁平化進一步提升網絡性能。采用LTE網絡架構的最大好處就是通過減少節點減少時延,滿足LTE實時業務的低時延要求,另外減少網絡實體,也符合節省成本的需求。
圖4顯示了各系統的時延對比。設備商的性能各不相同,所以每種系統的時延都用最大值和最小值的區間來表示。可以看出,LTE的時延均小于20ms,滿足系統設計要求,相對于HSPA+也有一定的優勢。

3.3 頻譜效率
頻譜效率是指單位頻帶所支持的數據速率或者用戶數。在頻段、頻譜數量、小區位置等因素不變的情況下,頻譜效率意味著一定負荷條件下所支持的用戶數較多,或者說在用戶數目相同的條件下,單個用戶的吞吐量較高。LTE和HSPA+的頻譜效率差異是其各自采用的載波調制技術差異決定的。
傳統的多載波通信系統中,為了避免相互干擾,整個系統頻帶被劃分為若干個分離的子載波。各載波之間有一定的保護間隔,頻帶沒有重疊,接收端通過濾波器把各個子載波分離之后接收所需信息。設置保護頻帶雖然可以避免各子載波間的互相干擾,但卻需要以犧牲頻率效率為代價。而OFDM技術完全解決了子載波干擾的問題。
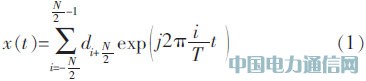
OFDM的基帶信號可以表示為

式中:
i——子載波
d——系統輸入
T——信號周期
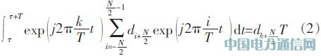
單路k子載波的解調結果為

對于除k外的其他子載波來說,由于在積分間隔內,頻率偏差是1/T的整數倍,所以積分結果為0。因此相鄰子載波雖然在頻域上重疊,但不會產生干擾。
從圖5中可以看出,由于OFDM技術的頻率特性,各子載波間的頻率響應是正交的。子載波間隔大大減小,從而使頻率利用效率大大提高。LTE系統采用的各子載波間隔為15kHz,可以充分滿足奈奎斯特準則。

實際應用場景中,無線網絡的頻譜效率受到很多因素的影響,如網絡拓撲、傳播條件、用戶分布、業務特點等。在衡量和比較各個系統的頻譜效率時,必須考慮到系統的仿真條件。3GPP對系統的仿真條件做了簡單約定,常用的網絡參數如表2所示。

在上述仿真條件下,LTE的頻譜效率與HSPA+的對比結果如圖6所示。從圖6中可以看出,LTE的頻譜利用率要明顯高于HSPA+。

4 LTE-A關鍵技術和性能要求
LTE-A作為LTE的演進,是真正意義上的4G標準。LTE-A中,為了滿足更高的性能指標,引入了一系列關鍵技術,包括上/下行MIMO擴展、載波聚合(CA)技術、接力通信(relay)和協作的多點傳輸與接收(CoMP)技術。圖7列舉了LTE-A中各種技術手段和主要目的。

LTE-A系統在關鍵技術方面有了很大的增強,其支持的系統帶寬最小為20MHz,最大帶寬達到100MHz。其各項性能指標得到了很大改善,具體表現為:
a)使用4×4 MIMO且傳輸帶寬大于70MHz時,下行峰值速率為1G bit/s,上行峰值速率為500Mbit/s。
b)下行8×8天線配置時峰值頻譜效率為30bit/s/Hz,上行4×4天線配置時峰值頻譜效率為15bit/s/Hz。
c)下行4×4 MIMO配置下小區平均頻譜效率為3.7bit/s/Hz,上行2×4 MIMO配置下小區平均頻譜效率為2.0bit/s/Hz。
d)下行4×4 MIMO配置下小區邊緣頻譜效率為0.12bit/s/Hz,上行2×4 MIMO配置下小區邊緣頻譜效率為0.07bit/s/Hz。
e)在系統容量方面,LTE- A要求每5M帶寬內支持200~300個并行的VoIP用戶。
f)LTE-A對時延的控制更加嚴格,具體為:控制層從空閑狀態轉換到連接狀態的時延低于50ms,從休眠狀態轉換到連接狀態的時延低于10ms;用戶層在FDD模式的時延小于5ms,在TDD模式的時延小于10ms。
5 結束語
LTE通過引入OFDM、MIMO和網絡扁平化等多種關鍵技術和方法,帶來了系統和業務性能的大量提升和改善,并且在傳輸速率、系統時延和頻譜利用率等方面體現出很大優勢,因此應該是未來無線技術的發展方向。對于目前運營3G系統的運營商來說,首先過渡到HSPA+是快速高效提升網絡性能的途徑,但是HSPA+在性能方面與LTE相比,還有一定的差距。就目前各運營商的選擇情況看來,在均衡網絡發展方向和當前運營狀況的問題上,LTE與HSPA+勢必會有一定的較量。隨著LTE-A標準化的完成,移動通信的“Long Term Evolution”之路無疑非LTE莫屬。
參考文獻:
[1] Erik Dahlman,Stefan Parkvall,Johan Skold. 4G LTE/LTE-Advanced for Mobile Broadband[M]. Academic Press,2011.
[2] Farooq Khan. LTE For 4G Mobile Broadband[M]. Cambridge University Press,2009.
[3] Stefania Sesia,Issam Toufik,Matthew Baker Stefania Sesia,et al. LTE-The UMTS Long Term Evolution[M].Wiley,2009.
[4] Erik Dahlman,Stefan Parkvall,Johan Skold,et al. 3G Evolution HSPA and LTE for Mobile Broadband[M].Academic Press,2008.
[5] 3GPP TS 36.213 V10.3.0 Physical layer procedures[S/OL].[2011-11-12].http://www.quintillion.co.jp/3GPP/Specs/36213-920.pdf.
[6] 3GPP TS 36.212 V10.3.0 Multiplexing and Channel Coding[S/OL].[2011-11-12].http://wenku.baidu.com/view/3e33238271fe910ef12df 859.html.
[7] 3GPP TS 36.211 V10.3.0 physical channel and modulation[S/OL].[2011-11-12].http://www.quintillion.co.jp/3GPP/Specs/36211-860.pdf.