摘要:提出了基于運動檢測的視頻圖像自適應濾波降噪算法,該算法能夠智能地區分圖像的靜止部分和運動部分,并針對性地使用不同的濾波算法。實驗結果表明,由于本算法充分利用了視頻的空域、時域信息,能夠顯著提高圖像的信噪比和圖像的主觀質量,比單純的空域或時域濾波取得更好的效果。
引 言
目前圖像去噪的方法大致分為空域濾波和時域濾波兩類。
空域濾波有中值濾波、基于小波變換的濾波、系數自適應濾波等經典濾波方法,都取得較好的圖像處理效果,但在視頻應用中,由于空域濾波沒有充分利用時域的信息,不能取得最佳效果。時域濾波由于考慮了幀間圖像的相關性,具有更好的效果,但是此類方法只適用于靜止目標,對運動目標會產生偽影等時域模糊現象。對于微位移目標,該方法會引起目標邊緣的虛像甚至偽像;對于大運動目標,可能導致目標圖像不可識別。在后兩種情況下,圖像的信噪比會降低。
本文提出一種基于運動檢測的智能時域、空域視頻濾波降噪算法,該方法能夠有效地區分每幀圖像的運動區域和靜止區域,并對每幀運動區域和靜止區域的像素采用不同的濾波策略,每一策略又進一步根據當前像素的局部特性自適應地進行處理。實驗結果表明,由于該方法結合了運動檢測算法、時域自適應算法、空域自適應算法,所以能夠使圖像去噪的效果達到單個算法所不能達到的效果。
1 基于運動檢測的自適應濾波算法
1.1算法原理
整個算法的流程如圖1所示。由于時域均值濾波能對視頻序列的靜止區域產生更好的結果,算法應盡可能使用時域均值濾波。為此,算法降低了對靜止區域的判決標準:除了前后幀沒有差別的區域被認為是靜止區域之外,那些只有前面少量幀檢測到運動的位置依然被認為是靜止區域(這種情況的例子很多,如靜止背景中有快速運動物體劃過、靜止不動的物體偶爾地運動等)。對于運動區域,為了避免偽影等時域模糊現象,算法只使用空間處理。其中閾值Tt用于判斷在時域上兩個像素之間的差別是由運動造成的還是由噪聲造成的;閾值Ts用來判斷空域上兩個像素間的差別是由噪聲造成的還是由圖像邊緣或紋理等空間細節造成的,這兩個閾值與噪聲的方差成正比。

1.2運動區域檢測算法
運動區域檢測在本算法中居于核心地位,決定整個算法的性能。為了降低噪聲對檢測準確性的干擾,本算法先將輸入幀劃分為小塊,計算小塊的均值來判斷前后幀是否有運動出現,這實際t是先進行空間濾波后進行判斷,而區域的運動性質判斷則以子塊為單位。
將當前幀劃分成4×4大小的子快,首先計算塊內的平均值,然后進行比較,若兩子塊差值小于閾值Tt,則將計數Count(記為c)加1。如果c大于80%,也就是說,當前幀的前L幀中絕大多數(大于80%)的當前位置處沒有運動,則為靜止區域,可以進行時域均值濾波,否則判斷為運動區域。為進一步保證檢測的準確性,本算法還加入對檢測結果的空間約束,亦即若某一子塊被發現是運動子塊,那么它的所有相鄰子塊都被判定是運動子塊。
上述運動檢測(輸入當前幀的當前子塊B(i,j,k)時)的步驟如下:
a)完成初始設置,置C=0。
b)若當前子塊的標記M(i,j)已被標記為運動或靜止,則不作處理,直接轉步驟^。
c)計算子塊的平均值S(i,j,k),即

d)比較。s與第k一l幀對應子塊平均值。s(i,j,k一l),若差值小于閾值T1時,轉步驟e,否則轉步驟f。其中,閾值T1=(1.3σv)2。
e)C=C+1。
f)若全部幀已經比較完畢,轉步驟g,否則l=l+l,轉步驟d。
g)若C/L>80%,置當前子塊的標記M(j,j)為靜止塊,否則為運動塊,并置當前塊的所有相鄰塊為運動塊。
h)當前子塊的檢測結束。
1.3時域自適應濾波算法
如前所述,對于靜止區域的像素,簡單的時域均值濾波能得到原始信號的最優估計,因而本算法中采用下式所示的自適應時域濾波器:

1.4空域自適應濾波算法
空域濾波比時域濾波復雜得多,這是因為視頻圖像的每一幀都包含豐富的空間信息,幾乎不可能出現靜止區域像素在時域上組成一個常數信號的情況。在使用空間濾波器濾除噪聲時,容易對每幀的細節產生明顯的模糊,降低視頻圖像的視覺質量。因而,空域的濾波要求更高的靈活性,在降噪的同時要盡可能保留圖像中的邊緣、紋理等細節信息。
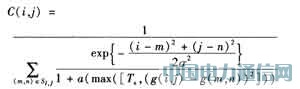
本算法采用的空域自適應濾波的原理如下式:


式中:S1j為空間濾波器的范圍;T=(1.8σv)2。
由式(2)和式(3)可見,本算法的空域自適應濾波為避免毀壞圖像各幀中的邊緣、紋理等細節,當前像素的濾波值只由濾波器范圍內彼此相近的像素決定,當某像素與當前像素差別較大時,其權值很小,因而對當前點的濾波值的影響也很小。同時,與當前像素空間位置越接近的點對當前像素的濾波值影響越大,這進一步減輕了空間濾波過程對圖像的空間細節的毀壞。
2 實驗結果分析
本文只對加了高斯噪聲的“Foreman”測試序列進行了處理。處理結果如圖2所示。

3種濾波器進行處理后的圖像的信噪比見表1。

經過分析可以發現,使用空域濾波器得到的效果最差,時域濾波器得到的效果比較好,但是在圖像運動部分效果一般。用本文提出的基于運動檢測的算法處理時,得到的效果最好,其信噪比有很大的提高,同時,主觀上可以看出明顯的區別。
3 結束語
本文提出的算法結合了時域、空域視頻濾波降噪算法,能夠充分發揮兩者的優點,同時能夠避免使用單個算法的缺點,所以得到了最佳的效果,試驗結果也證明了這一點。