摘要:在電子對抗領域,通常以同時輸出多個載波信號對跳頻等抗干擾通信實施干擾。分析了針對跳頻通信的各種梳狀攔阻式干擾方案的優缺點,設計了一種基于鋸齒波線性調頻技術的干擾方案。該方案能在保持時域等幅波形的前提下,產生多個離散的梳狀譜,有效利用功率放大器的功率容限,適合于通信訓練中模擬干擾環境。同時給出了基于數字信號處理器(DSP)、ROM、RAM,以及信號產生軟件包組成的數字化多頻點干擾信號產生器的實現,并對實現結果進行了分析。
隨著信息技術的迅猛發展,信息作戰已成為貫穿高技術作戰全過程的重要作戰行動,運用電子對抗手段干擾敵通信、導航等信息系統是信息作戰中電子戰的重要內容。增強軍用無線電通信與導航系統抗敵電磁干擾能力已成為提高通信導航保障能力的關鍵,為了方便地在日常訓練和演練中實施無線電通信對抗訓練,提高裝備與操作人員應對敵方電磁干擾能力,有必要研制針對通信對抗訓練的小功率電子干擾系統。
在電子對抗領域,通常以同時輸出多個載波信號對跳頻等抗干擾通信方式實施有效干擾,對于攔阻式干擾,干擾信號的個數與總的覆蓋寬度是跳頻通信信號被干擾的主要因素,所以增加多載波數量和覆蓋頻段寬度成為提高干擾效果的主要途徑。
高頻頻段的抗干擾通信通常為窄帶跳頻通信,所以筆者分析了各種高頻跳頻通信干擾信號的產生方案后,設計了一種基于線性調頻技術的小功率高頻跳頻通信干擾方法以及實驗方案,實驗結果驗證了方案設計的有效性。
1 高頻跳頻通信干擾方案分析
1.1 跟蹤瞄準式干擾
跳頻通信在通信中不同時刻使用不同的頻率,而變化規律受偽隨機序列的控制,通常該偽隨機序列有很大的密鑰量,幾乎無法進行破譯,所以干擾方無法掌握欲干擾電臺的跳頻圖案。為此通常采用跟蹤瞄準式干擾,當跳頻速率很低和跳頻頻點較少時,當前的干擾技術可有效實行跟蹤干擾。然而,為對抗跟蹤式干擾,通信方目前已采用跳頻速率很高的跳頻通信。如主要用于空中通信的美國聯合戰術信息分發系統(JTIDS),跳頻速率為每秒38500跳,已無法實現有效跟蹤干擾。
由于對高速跳頻通信無法實施有效跟蹤干擾及信號密集環境的中速跳頻通信很難實施有效跟蹤瞄準式干擾。目前對跳頻通信進行干擾的有效干擾方案是攔阻式干擾,具體可分為梳狀攔阻式干擾和連續攔阻式干擾。
1.2 梳狀譜干擾方案
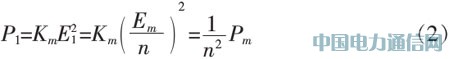
梳狀攔阻式干擾是經常被采用的攔阻是干擾,一般的實現方法為一部干擾機內設置多個振蕩源,經相加合成后,從一個寬帶天線發出多信道干擾。但相加合成后的接到功率放大器的輸入端,其為復雜的調頻調幅波。單從其復雜的調幅特點,已使功放的功率容量利用率降至很低。我們知道,當功放的輸入為單個頻率的等幅波時,對其放大,輸出滿功率為
為對應輸出電壓。當功放的輸入為多個振幅相同但不同頻率的等幅波訊號,某一瞬間所有等幅波訊號相互處于同相,即都處于其最大值時,其合成電壓E∑為各等幅波電壓E1的算術相加,而處于最大值。由此,輸出合成電壓只能等于或少于而不能超過功放的最大輸出電壓Em。現設振蕩源數量為n,則

即每個訊號的輸出電壓受限于功放的最大輸出電壓。因此每個訊號的輸出功率為

而在這種多訊號輸入情況下,其功放的輸出功率,即n個訊號輸出功率之和,遠小于功放的滿功率輸出,即

這是因為在絕大部分時間,多個訊號不是同相相加,而是矢量相加,相加后的合成電壓E∑遠小于Em,所以在功放大部分時間,功放輸出功率遠小于Pm,因此功放的平均輸出功率僅為滿功率輸出的1/n。僅在極少時間處于最大輸出功率,故功放的功率容量利用率極低。
1.3 連續譜攔阻式干擾方案
為提高功率容量利用,應避免多頻點信號矢量相加的寬帶攔阻式干擾信號產生方法。應采用單部干擾機單振蕩源寬帶連續調頻方式,目前已有寬帶射頻噪聲直接放大和噪聲寬帶調頻等方法。
其中,寬帶射頻噪聲直接放大采用白噪聲源輸出,經功放放大輸出以產生攔阻式干擾。白噪聲源雖具有寬帶頻譜但輸出能量較小,要經過多級寬帶放大,且因噪聲輸出電壓不是等幅波,功放的功率容量利用率仍較低,其電源效率也低。要使功放的功率容量利用率高,可采用連續等幅的調頻波,采用噪聲對振蕩源實施寬帶調頻,以產生寬帶頻譜。但由于噪聲電壓的振幅呈正態分布,因此調頻后產生的寬帶頻譜,其能量在頻域是非均勻分布的,不能滿足攔阻式干擾寬帶頻譜內各干擾分量能量相同的要求。因此攔阻式干擾機的最佳體制和技術是如何獲得寬頻帶均勻干擾頻譜,同時如何使干擾機功率容量充分利用。
2 干擾功率受限的攔阻式干擾方案
2.1 鋸齒波加窄帶噪聲調頻干擾方案
由于梳狀譜干擾方案的有效功率利用率太低,而連續譜攔阻式干擾方案的干擾信號頻譜并非均勻,不能對所有的跳頻頻點進行同等功率的干擾,影響了干擾效果。為此,提出一種鋸齒波加窄帶噪聲調頻干擾方案。
如圖1所示,假設鋸齒波的周期為T,那么用此信號進行寬帶調頻可獲得頻帶為(f1-f2)均勻頻譜。在此(f1-f2)頻帶內,各干擾分量能量基本相同,各干擾分量頻率間隔等于鋸齒波頻率(f=1/T)?闪钿忼X波頻率與信道頻率間隔相同,那么各干擾分量頻率間隔和信道頻率間隔相同,實現分別瞄準。而在干擾頻寬(f1-f2)以外,干擾能量急劇下降,不影響其他頻段通信。

這種干擾方式特別適合對跳頻通信的攔阻式干擾。由于該寬帶調頻波在時域是連續的等幅波,不存在幅度的大范圍變化,從而有效利用了放大器的功率容限。而在頻域,它是頻率間隔為跳頻頻點間隔的梳狀譜,而且各譜線幅度基本相等,有效干擾了所有的跳頻頻點。所以是干擾跳頻通信的有效方案。
2.2 干擾功率受限的短波跳頻通信攔阻式干擾方案
通常高頻跳頻通信信號帶寬相對來說跳頻帶寬并不寬,適合進行攔阻式干擾。同時考慮到造價的因素,訓練用的干擾模擬系統的干擾總功率不可能很高,所以筆者設計了一種鋸齒波加窄帶噪聲調頻的短波跳頻通信攔阻式干擾方案。并且,以DSP技術為基礎,采用了數字化的干擾信號產生方法,更加精確地完成了鋸齒波加窄帶噪聲調頻操作,減小了雜散頻率的生成,進一步提高了干擾的準確度,提高了功率的有效利用。
考慮供通信訓練用的干擾系統,功率放大器不可能選擇昂貴的大功率放大器,同時干擾機可靠近設置,所以選用了低功率的干擾方案。下面對本方案的干擾性能做一簡單分析。
由于采用鋸齒波加窄帶噪聲調頻獲得了時域波形幅度不變的梳狀譜窄帶調頻信號,所以可有效利用功率放大器的功率容限。假設功率放大器的功率為P0,那么每個窄帶調頻譜線的功率為P0/N,N為譜線個數,即跳頻頻率集個數?紤]如下干擾條件:
干擾機與被干擾電臺的距離按0.5km計;干擾機工作頻率按10MHz計;干擾機輸出功率按50W計,通信方發射功率按120W計;干擾天線增益按2dB計,通信方發射天線增益按2dB計;電離層反射虛高按300km計;電離層吸收損耗La、額外損耗Yp之和按8dB計;干擾機到被干擾電臺之間地質條件按干地計。天波傳輸計算公式為

地波傳輸計算公式為

被干擾短波電臺所處位置的干擾電平計算結果如下:
通信方發射電波經電離層反射到被干擾電臺處的干擾信號場強E=102.4μV/m;干擾電波以地波形式傳輸到被干擾電臺處的干擾信號場強為E=0.387mV/m。那么,接收方收到的干擾電平和信號電平之比約為3.78,大于所有調制方式的壓制系數,可以構成有效干擾。
3 基于數字化干擾信號產生的干擾機硬件實現方案
由于傳統射頻干擾設備中頻以下采用模擬電路實現鋸齒波寬帶調頻和噪聲窄帶調頻的組合調制,電路復雜,調試困難,因此本方案以中頻以下數字化的方式產生干擾信號,然后利用模擬射頻變頻電路進行頻譜搬移,產生所需的多頻點攔阻式干擾信號,圖2為干擾發射系統的原理框圖。

數字化信號產生器由數字信號處理器(DSP)、ROM、RAM,以及信號產生軟件包組成。其中數字信號處理器是產生多頻點攔阻信號的核心器件,它通過地址總線選擇預存在RAM中的窄帶噪聲離散信號數據,通過調用存儲在ROM中的信號產生軟件包將信號數據循環恢復為所需的多頻點離散信號,然后通過D/A變換器轉換為時域連續波形,從而在一個較低中頻上實現不同帶寬、不同頻點數的窄帶噪聲調頻的梳狀譜,該信號在時域仍保持等幅波波形。在此方案中,用DSP產生鋸齒線性調頻信號的抽樣信號為

同時可在DSP中對每一相應頻點進行調制運算,實現噪聲調頻。該中頻信號隨后經過信道部分利用模擬電路進行頻率搬移,轉換至所需的的工作頻率上,對跳頻通信實施有效干擾。
4 方案實現結果
筆者采用TI的320VC系列浮點DSP實現了低中頻上進行線性調頻的數字化信號產生,通過權衡RAM容量大小與硬件成本,信號設計為400ms往復循環,以節省硬件成本。圖3、4為該方案最終實現不同間隔、不同頻點數的多頻點攔阻式于擾信號結果。

5 結束語
由于對高速跳頻通信無法實施有效跟蹤干擾。目前對跳頻通信進行干擾的最佳干擾方案是攔阻式干擾,具體分為梳狀攔阻式干擾和連續攔阻式干擾。攔阻式干擾的最佳體制和技術是如何獲得寬頻帶均勻干擾頻譜和如何使干擾機功率容量充分利用。鋸齒波加窄帶噪聲調頻干擾信號在時域是連續的等幅波,不存在幅度的大范圍變化,可有效利用功率放大器的有效功率。在頻域,它是頻率間隔為跳頻頻點間隔的梳狀譜,而且各譜線幅度基本相等,能有效干擾所有的跳頻頻點,是干擾跳頻通信的有效方案。筆者基于鋸齒波線性調頻技術設計了一種多頻點攔阻式干擾方案。該方案能在保持等幅波形的前提下,產生多個離散的梳狀譜,有效利用功率放大器的功率容限,理論計算表明能夠在一般條件下形成有效的干擾。本文還設計了基于DSP器件的數字化干擾信號生成方案,提出了在中頻以下,用DSP產生數字化的均勻連續譜干擾信號的方法以及經過信道機將信號搬移至工作頻率的方案。最后給出了該方案生成信號的頻譜圖。