摘要:針對傳統電加熱溫度測控系統存在的普遍問題和數字控制控儀表的設計要求,提出了基于數字PID控制算法和89C52單片機的溫度控制系統。系統采用AD590傳感器檢測溫度,溫度信號經A/D8080轉換成數字量,單片機與設定值比較后,執行PID控制算法,并給出控制量去調節可控硅的觸發脈沖,從而實現溫度的實時顯示與實時控制。實驗結果表明:該控制器具有靜態精度高,自適應能力強,可靠性高,抗干擾性強的特點,使爐溫達到了很好在控制效果。
電加熱爐是科學實驗、工農業生產過程中量常見也是最常用的加熱設備,由于爐子種類與規格、加熱對象的不同,它們所構成的系統千差萬別。溫度作為一個重要檢測和控制參數,對其控制的好壞直接影響到產品的質量和數量。電加熱爐種類繁多,控參數通常具有時變性、非線性、不確定性等特點,對其控制方案的研究不論在基地式儀表時代還在現在的智能化儀表時代,都是很熱門的對象。在現有溫度控制儀表的配置加熱系統中,大多數只配有一組加熱元件,當溫度達到調控點時,便切斷電源進行保溫,隨著時間的推移,溫度降到一定數值后啟動該組件元件的電源供電進行加熱,從此周而復始,動作頻繁。用作測溫的傳感器,當溫度上升到設定點溫度時,必然有一個時間的滯后性,使被控溫場沖過溫控點,而過沖幅度與熱功率的大小成正比,與溫場的大、小成反比。PID控制器雖然具有結構簡單、穩定性好、工作可靠、調整方便等優點,但加熱系統與PID控制器設計的不匹配現象也廣泛存在。本文采用80C52單片機、數字PID算法來設計的電加熱式恒溫控制系統,參數調整方便,實時性能好,達到超前控制的目的,具有遲滯控制穩定性的抗干擾能力,可以大大提高控制質量和自動化水平,實現發溫度控制儀表的數字化與智能化。本系統可應用于孵蛋、細菌培育等恒溫系統進行溫度控制。
1 控制方案設計
溫度場是一個梯度場,溫度的上升或下降隨時間緩慢變化。電加熱爐溫度控制過程可以用自然降溫、程序升溫和恒溫保持3個分過程來描述。自然降溫:停止加熱,環境溫度在整個過程中保持不變,受控溫度場最終穩定為環境溫度。程序升溫過程:給定電壓值為一變化值,由程序控制逐漸變化,最終使爐溫的穩定在給定值上。恒溫保持:給定爐溫為一定值,使爐溫穩定在給定值上,這時受控場溫度恰好抵消散熱因素的影響而能夠維持在所設定的溫度。實驗和經驗表明,電加熱爐對象可近似為一個純滯后環節和一個慣性環節組成,其傳遞函數為:

τ為純滯后時間,K為放大倍數,T為慣性時間。在滯后時間和慣性時間均不太大、控制對象非線性小,參數時變性小的場合,RID控制是一種最直接最有效的控制方法。本文采用數字PID控制技術,設計了一個實驗室可用、中小型的、溫度在環境溫度至此320℃范圍內可調的電加熱爐溫度控制系統,系統結構如圖1所示。

圖1 爐溫度控制系統結構
系統采用溫度傳感器對爐膛內的實時溫度進行檢測、轉換、采樣,所得的檢測信號經A/D轉換器轉換成數字信號進入單片機,并與單片機內預先設定的溫度給定值加于比較得出偏差,偏差送入控制器,單片機執行偏差的PID數字運算得到可控硅的觸發脈沖,并由這個觸發脈沖調節可控硅的導通時間,從而調節電爐絲與風扇的兩端電壓形成控制作用,使爐溫保持恒定。
2 軟、硬件設計
2.1 硬件系統設計
控制器的核心是80C52單片機,其硬件框圖如圖2所示。系統采用AD590溫度傳感器電路把溫度轉換成0~5V的電壓信號,再由轉換器A/D 8080轉換成數字信號送入單片機80C52.單片機根據系統的給定溫度和實際測量值比較得出偏差,再利用PID算法求出控制量U(kT)。通過U(kT)來決定輸出觸發脈沖的寬度。從而控制可控硅的導通時間,最終達到控制溫度的目的。

圖2 系統硬件框圖
微機系統主要由CPU80C52,并行接口8255A,地址鎖存器74LS373構成。
AD590是電流型溫度傳感器,用于精密溫度測量電路。在被測溫度一定時,AD590相當于一個恒流源,通過對電流的測量可得到所需要的溫度值。
A/D0808 是8位逐次逼近式A/D轉換器件,采用CMOS結構,包括8位的A/D轉換器、8通道的多路模擬開關和與微處理器相兼容的控制邏輯。8通道多路模擬開關能直接與8路單極性模擬信號中的任何一個相連。片內還具有8路模擬開關通道地址鎖存器和地址譯碼器、電壓比較器、256R電阻T型分壓器、數字模擬開關陣譯碼器、逐次逼近寄存器SAR、邏輯控制與定時電路、輸出具有TTL電平標準的三態輸出數據鎖存緩沖器,直接掛接在單片機單片機的數據總線上。
單片機80C52是一種集CPU、RAM、ROM、I/O接口和中斷系統等部分于一體的器件,只需要外加電源和晶振就可實現對數字信息的處理和控制。
8255A芯片用來擴展I/O口,它有3個輸入輸出端口,PA口接測量顯示的LCD液晶顯示器,PB口接給定溫度顯示的LCD液晶顯示器,PC口控制LCD的選通,8255A的地址通過鎖存器74L373選擇,這樣就很好的解決了單片機端口資源不足的問題,并且各個模塊功能清晰。
2.2 軟件系統設計
2.2.1 程序流程
程序流程如圖3所示。系統程序包括主程序、對80C52單片機硬件電路的初始化、顯示程序、鍵盤處理程序等。控制器的軟件主要包括兩部分:監控程序和控制程序。監控程序的主要功能包括初始化設置、內存清零、定時采樣、鍵位操作和顯示等。控制程序的主要功能包括定時、數據處理、溫度控制子程序等。該系統的軟件是在80C52單片機仿真開發環境下采甩基于51系列的C語言編寫的,用C語言來設計程序大大提高了開發調試的工作效率。

圖3 程序流程圖
2.2.2 溫度控制算法設計
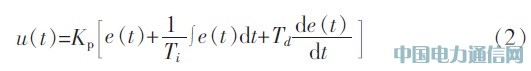
PID控制器具有結構簡單、穩定性好、工作可靠、調整方便等優點,是控制理論中技術最成熟、應用最廣泛應的一種控制技術。所謂的PID控制,就是按偏差的比例、積分、微分進行控制。想模擬PID調節器的控制規律為:

式中u(t)是PID調節器的輸出量,e(t)是PID調節器的輸入量,Kp為比例系數,Ti為積分時間常數,Td為微分時間常數。

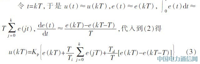
PID控制的形式多種多樣,常用的通常有位置式和增量算式。根據對象的特點,該系統采用PID增量式控制算法。所謂的PID的增量算式,就是根據式(3)計算出u(kT-T),通過計算△u(kT)=u(kT)-u(kT-T)得到PID增量算△u(kT),即第k次采樣輸出算式為:

在計算機系統中,一般采用恒定的采樣周期T,當確定了Kp、Ki、Kd時,根據前后3次測量的偏差值就可以求出控制增量△u(kT)。增量式PID程序流程圖如圖4所示。

圖4 增量式PID程序流程圖
3 實驗結果與系統仿真
在Keilu Vision3中建立一個文件,在代碼框中輸入程序代碼,檢查調試代碼無誤后運行程序生成。HEX文件,打開PROTEUS的原理圖編輯及仿真界面,并在界面中打開事先設計好的電路圖,最后把轉換好的二進制文件加載入80C52單片機,點擊運行調試按鈕就可以進行硬件和軟件的仿真。
該系統爐溫在一定范圍內根據實際控制對象可以人工設定,圖5為電加熱爐溫度設定值在50、100、150和300℃時的升溫曲線圖。從圖中可以看出,爐溫獲得了良好的控制,各項指都達了電加熱爐加熱對象要求起跳快、調量小、控制平穩的技術指標。

圖5 電加熱爐溫度設定值在50、100、150和300℃時的升溫曲線圖
4 結束語
該系統經驗證能充分實現溫度的實時控制與顯示、設定顯示,達到智能數字控制儀表的要求。試驗表明,該系統具有良好的升溫、降溫特性,靜態、動態指標均達到了控制要求,系統精度高,自適應能力強,可靠性高,抗干擾性強,控制界好等特點。系統的超調量小于4%,調節時間在溫30~100范圍內均6 min小于,爐溫達剄了很好在控制效果。改小溫度設定值,該系統可應用于孵蛋、細菌培育等場合恒溫控制。該控制器的設計方法在熱處理、化工、機械加工、金屬冶煉等行業爐溫控制器設計中具有一定的借鑒意義和推廣價值。