摘要:針對現有高速公路管理系統無法對車輛進行實時管理的現狀,提出一種對高速公路上車輛進行實時測速及定位的方法。該方法基于射頻識別(RFID)技術,通過分析構建移動車輛的定位模型,利用譜估計方法對其多普勒頻移進行測量,并針對模型求解中存在的非線性特性,采用牛頓迭代法計算車輛的實時速度及相對坐標以達到測量車速及確定車輛實時位置的目的。仿真實驗結果表明,該方法具有運算量小、精度高、實施簡單的特點。
1 概述
射頻識別(Radio Frequency Identification, RFID)是一項非接觸式自動識別技術,具有信息量大、抗干擾強、操作快捷等許多優點。特別是RFID 技術在高速運動物體識別、多目標識別和非接觸識別等方面的優勢,使其在很多領域都具有巨大的發展潛力和廣泛的應用前景。

高速公路作為國家的重要戰略資源,不僅提高運輸效率,而且還能減少車輛損耗,其優越性十分突出。但在安全方面,我國的高速公路卻表現出了較高的事故率和傷亡率。相關研究表明,通過合理控制機動車輛的車速及安全車距,可以有效保障高速公路的交通安全和暢通,預防和減少交通事故。
但我國高速公路管理系統中現有的一些交通檢測技術,其主要作用是檢測道路流量以及為超速罰款提供參考依據,而目前被推廣的GPS 定位系統,無法對速度進行實時測量,且其定位精度有限,亦不能實時跟蹤車輛。因此,我國在高速公路安全管理及監控這一領域還存在較大的空白。多普勒效應在近代科學中有著廣泛的應用。它可用于測量飛機時速、觀測人造衛星運行情況、確定星體運行速度、測量視網膜血管內血流速度等。最大多普勒頻移還是無線通信中用于優化自適應接收機的重要參數,導頻信道測量、切換判決和功率控制等自適應優化算法都依賴于對它的有效估計。
本文基于RFID 技術,通過對由車輛移動所產生的多普勒頻移進行實時估計,提出一種高速公路車輛實時測速及定位方法。
2 算法模型
結合高速公路的實際情況,本模型采用無源、只讀射頻卡,由于本身不需要電源和電池,解決了高速公路無電源問題。同時,無源射頻卡不需要維護,且使用壽命很長,節省了大量的人力資源。車載閱讀器通過發射激活信號并從無源應答器中接收射頻信息來確定當前位置。為取得較遠的感應距離,車載閱讀器應工作在UHF 頻段內,其識別距離可以達到十幾米,足以滿足當前高速公路的設計要求。
2.1 射頻卡識別碼設置
將射頻卡等距設置在高速公路的隔離帶或左、右路肩處。每個無源射頻卡應具有唯一的射頻識別碼,該射頻識別碼包括高速公路的識別號碼、車道數目以及路帶標識(即表明所處位置為左右路肩或隔離帶),并依次設置順序號碼,以便能夠表征其地理位置及相應順序。此外,在ID 號碼中還可以包含高速公路的相應標號、高速公路的車道數目等編碼。具體設置如圖1 所示。

圖1 射頻標識碼設置
2.2 數學模型
由于定向天線通信距離遠,覆蓋范圍小,目標密度大,頻率利用率高且所受干擾小,因此將閱讀器天線設定為定向天線,只能接收來自路肩或隔離帶一側的射頻信號。圖2 給出了閱讀器接收來自路肩一側射頻卡信息的模型。車道及路肩之間用實線隔開,圓形代表車載閱讀器,矩形代表在路肩等距鋪設的射頻卡。設一車載閱讀器正沿著車道2 正向行駛。
某一時刻,接收到來自射頻卡1,2,…,N 的信號。圖中v 表示車輛行駛速度, 1 2 , , , N θ θ ??θ 為車輛相對射頻卡1,2,…,N 的徑向方向與車輛行駛方向的夾角,m 為兩射頻卡間的距離,m1,m2,…,mN 為射頻卡1,2,…,N 同車輛行駛方向法線間的距離,d 為車輛到射頻卡垂直距離,dr 為車道寬度,dl 為路肩寬度, 1 2 d , d , , dN f f ?? f 為車輛相對射頻卡1,2,…,N 的多普勒頻移。

圖2 數學模型
根據幾何關系,可以得到:

同時,在RFID 系統中,射頻卡本身不發射電磁波,只對來自閱讀器的電磁波進行反射。因此,根據接收信號相對于發射信號的多普勒頻偏fd 關系,還可得到:

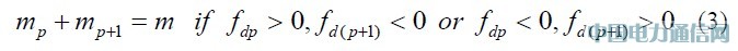
聯立式(1)、式(2),可以得到2N 個方程,而未知數個數為2N+2 個。實際上,當2 個射頻卡位于車輛行駛方向法線兩側時,其頻偏值必然為一正一負,因此,當檢測到2 個標識碼相鄰的射頻卡p 和射頻卡p+1、fdp 和fd(p+1)符號相反時,可知有:

此外,若設在閱讀器接收到第N 個射頻卡時開始執行定位算法,則可近似認為閱讀器與射頻卡N 之間的距離為最大通信距離R,有:

聯立式(1)、式(2),則可求得車輛行駛速度以及與N 個射頻卡的相對位置,進而實現對車輛當前位置的測定。在已知量中,m、R 是系統設定的,而N 個fd 值則需要進行實時估計。因此,對fd 估計的準確程度是實現精確定位的關鍵。
3 多普勒頻移fd 的估計
近年來,已有多種fd 估計算法被提出,如在時域中利用電平通過率進行直接測量[3]、或采用時頻分析方法[4]、或利用一些特殊性質如OFDM 導頻信號來估計最大多普勒頻移[5].
這些方法要么測量精度過低,要么運算量過大,均不適合在RFID 系統中應用。本文結合RFID 系統特點,采用功率譜估計的方法,在頻域實現對fd 的估計。
由于在車輛移動過程中,車載閱讀器與標簽之間的相對位置是不斷變化的,因此時域采樣點數應盡量少,以保證fd值的相對穩定。現代譜估計方法在短數據記錄的情況下,其性能遠遠優于經典譜估計方法。其中,Burg 算法不需要估計自相關函數,具有較高的譜估計質量且計算不太復雜,是較為通用的方法,亦適合在RFID 系統中使用。
對將接收信號進行下變頻并等間隔時域采樣,得到信號序列x(1), x(2),……, x(n) .采用Burg 算法進行譜估計,并利用反射系數公式中的遞推關系減小運算量,同時使用信息論準則法判定AR 模型階數P.
算法基本步驟為:
(1)設定初始條件。令第0 階前向、后向預測誤差序列為時域采樣序列。
(2)設定階數m=1,則得到反射系數k1 、模型參數a1(1)及最小預測誤差功率ρ1 .
(3)由反射系數k 1 得到第一階前、后向預測誤差序列 e1 f (n),e1 b (n)。
(4)令m = m+1,采用遞推分母DENm求出該階反射系數km 及最小預測誤差功率。
(5)采用信息論準則法判定階數P.令AICm = N ln(ρm) +2m ,其中,N為數據x(n) 的長度。當階次m由1增加時,AICm應在某一m 處達到最小值。因此, 若測得在m 階有1 AICm
(6)計算m 階前、后向預測誤差序列 emf(n) 、emb(n) 及所有模型參數am (i), i = 1,2,……,m,返回(4)。
(7)當AICm ≥AIC m-1 時,說明m-1 即為AR 模型的正確階次,至此,已求出所有階次時的AR 參數,可對AR 模型的功率譜進行估計。
(8)得到功率譜后,找到其幅值最大值所對應的頻率值,即為fd 值,算法結束。
算法流程如圖3 所示。

圖3 Burg 算法流程
4 算法求解
4.1 牛頓迭代法
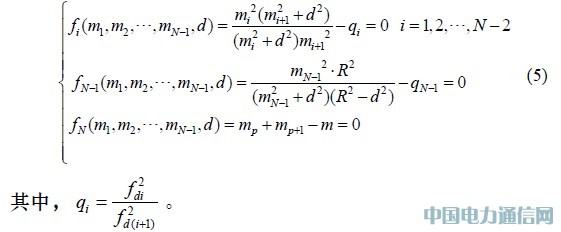
將式(1)~式(4)聯立并化簡,可得到如下方程:

將式(5)寫成矩陣形式:

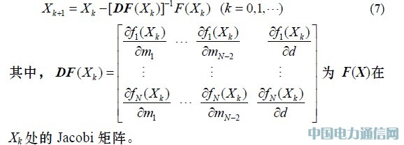
采用牛頓迭代法,設已得到第k 次近似解Xk,則可得:

式(7)即為式(6)的牛頓迭代公式,采用Gauss-Jordan 方法求解Jacobi 矩陣DF(Xk)的逆,則可求得X,確定車輛的實時位置。再將結果代入式(5),即可得到車輛速度v.
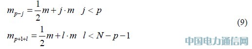
4.2 初值設定
由于牛頓迭代法是局部收斂的,因此選定的初值要接近方程的解,否則有可能得不到收斂的結果。因此,合理地選取初值,不僅能確保求解過程不發散,而且還能減少迭代次數,進而減少算法運算量。
根據式(3)可知,相鄰射頻卡p、p+1 分別在車載閱讀器行駛方向的法線兩側。因此,可設:

依次可設:

此外,由圖2 還可知2dr + dl > d > dl .
5 仿真實驗
仿真模型見圖2,設路肩寬度dl=2 m,車道寬度dr=5 m,每2 個射頻卡之間距離m=5 m,RFID 系統工作頻率f=915 MHz,閱讀器和射頻卡的最大通信距離R=14 m,采樣頻率fs=1 600 Hz,采樣點數N=128.考慮到高速公路環境較為空曠,忽略多徑干擾的影響,但由于閱讀器的接收信號十分微弱,因此干擾噪聲對其影響較大,設置信噪比SNB=-5 dB。
針對不同多普勒頻移隨機實驗500 次,其結果如表1 所示(限于篇幅,選取部分數據羅列)。可以看出,本文所采用的譜估計方法具有較高的估計精度,誤差在0.8 Hz 以下,且隨著fd 值不斷增大,誤差值呈減小的趨勢。
分別設定v 為30 km/h、60 km/h、90 km/h、120 km/h、150 km/h,針對不同位置對車輛速度進行反復測量,其平均誤差如表2 所示。當車輛接近靜止時,由于不存在多普勒頻移或多普勒頻移十分微小,由系統設定v=0.隨著車輛移動速度的提高,由于多普勒頻移在夾角一定的情況下同速度呈正比,因此速度誤差會隨著fd 測量誤差的減小略呈下降趨勢。
圖4 給出了400 次定位結果誤差分布。可以看到,節點位置誤差基本上在0.3 m 之內,平均誤差為0.1 m 左右。
表1 fd 估計值及誤差 Hz.

表2 速度平均估計值及誤差


圖4 定位結果誤差分布
6 結束語
本文針對我國現有高速公路管理系統無法對車輛進行實時管理這一現狀,提出一種對高速公路上車輛進行實時測速及定位的方法。該方法具有運算量小、精度高、實施簡單的特點,可用于實現高速公路上對車輛的實時跟蹤監控。本文僅是將RFID 技術應用于高速公路測速及定位方向的一個簡單嘗試。如何結合實際情況,構建功能完善的測速及定位系統,并在實際環境中加以應用將是進一步的研究方向。此外,該方法還可以推廣到機場鐵路、工業流水線及賽車跑道等多個領域,具有較為廣闊的應用前景。